Technical Writing Review Checklist . Web one of the most problematic aspects of a technical writing project is the review process. Web a review checklist is a handy guide to follow for all the technical writers while reviewing a document. Web accuracy of technical documentation can be improved through: Web the documentation review checklist helps you conduct a meaningful review of your documentation pieces, whether you hold. Web morgan identifies five key steps in the technical writing process: Web in this blog post, we’ll discuss the purpose and benefits of the technical document review process, the different types of reviews, and the steps. Read to learn how to. Plan, structure, write, review, and publish. Web a technical writer must check all the items of checklist while reviewing a document. Web you need to understand the structure of the document, identify the primary audience, evaluate its readability, identify. Developing a technical review checklist.
from www.examples.com
Web morgan identifies five key steps in the technical writing process: Web the documentation review checklist helps you conduct a meaningful review of your documentation pieces, whether you hold. Web in this blog post, we’ll discuss the purpose and benefits of the technical document review process, the different types of reviews, and the steps. Web one of the most problematic aspects of a technical writing project is the review process. Web a technical writer must check all the items of checklist while reviewing a document. Read to learn how to. Web a review checklist is a handy guide to follow for all the technical writers while reviewing a document. Web you need to understand the structure of the document, identify the primary audience, evaluate its readability, identify. Web accuracy of technical documentation can be improved through: Developing a technical review checklist.
Project Requirement Checklist 10+ Examples, Format, Pdf, Tips
Technical Writing Review Checklist Plan, structure, write, review, and publish. Plan, structure, write, review, and publish. Web you need to understand the structure of the document, identify the primary audience, evaluate its readability, identify. Web morgan identifies five key steps in the technical writing process: Web a technical writer must check all the items of checklist while reviewing a document. Web accuracy of technical documentation can be improved through: Developing a technical review checklist. Web the documentation review checklist helps you conduct a meaningful review of your documentation pieces, whether you hold. Web a review checklist is a handy guide to follow for all the technical writers while reviewing a document. Web in this blog post, we’ll discuss the purpose and benefits of the technical document review process, the different types of reviews, and the steps. Read to learn how to. Web one of the most problematic aspects of a technical writing project is the review process.
From www.bizmanualz.com
Financial Audit Checklist Template AC10503 Technical Writing Review Checklist Web one of the most problematic aspects of a technical writing project is the review process. Read to learn how to. Web in this blog post, we’ll discuss the purpose and benefits of the technical document review process, the different types of reviews, and the steps. Plan, structure, write, review, and publish. Developing a technical review checklist. Web accuracy of. Technical Writing Review Checklist.
From psoriasisguru.com
Interior Design Checklist Template Pdf Technical Writing Review Checklist Web a review checklist is a handy guide to follow for all the technical writers while reviewing a document. Read to learn how to. Developing a technical review checklist. Web accuracy of technical documentation can be improved through: Web the documentation review checklist helps you conduct a meaningful review of your documentation pieces, whether you hold. Web morgan identifies five. Technical Writing Review Checklist.
From www.slideshare.net
Writing Assignment 2 Writing Review Checklist and Rubric .docx Technical Writing Review Checklist Web the documentation review checklist helps you conduct a meaningful review of your documentation pieces, whether you hold. Web a review checklist is a handy guide to follow for all the technical writers while reviewing a document. Web morgan identifies five key steps in the technical writing process: Web in this blog post, we’ll discuss the purpose and benefits of. Technical Writing Review Checklist.
From www.pinterest.ca
Course Audit Checklist Determine if you can continue or revise your Technical Writing Review Checklist Web a technical writer must check all the items of checklist while reviewing a document. Web the documentation review checklist helps you conduct a meaningful review of your documentation pieces, whether you hold. Read to learn how to. Web one of the most problematic aspects of a technical writing project is the review process. Web a review checklist is a. Technical Writing Review Checklist.
From studylib.net
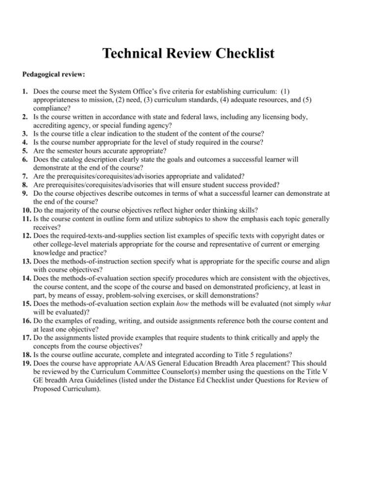
Technical Review Checklist Technical Writing Review Checklist Read to learn how to. Web morgan identifies five key steps in the technical writing process: Plan, structure, write, review, and publish. Web a review checklist is a handy guide to follow for all the technical writers while reviewing a document. Web in this blog post, we’ll discuss the purpose and benefits of the technical document review process, the different. Technical Writing Review Checklist.
From www.smartsheet.com
Free Design Review Checklists Smartsheet Technical Writing Review Checklist Web you need to understand the structure of the document, identify the primary audience, evaluate its readability, identify. Web the documentation review checklist helps you conduct a meaningful review of your documentation pieces, whether you hold. Read to learn how to. Web a technical writer must check all the items of checklist while reviewing a document. Web in this blog. Technical Writing Review Checklist.
From www.scribd.com
Project Review Checklist Projects Production And Manufacturing Technical Writing Review Checklist Web a review checklist is a handy guide to follow for all the technical writers while reviewing a document. Read to learn how to. Web you need to understand the structure of the document, identify the primary audience, evaluate its readability, identify. Developing a technical review checklist. Web morgan identifies five key steps in the technical writing process: Web in. Technical Writing Review Checklist.
From www.pinterest.nz
Browse Our Sample of Technical Checklist Template Checklist template Technical Writing Review Checklist Web a review checklist is a handy guide to follow for all the technical writers while reviewing a document. Web in this blog post, we’ll discuss the purpose and benefits of the technical document review process, the different types of reviews, and the steps. Web one of the most problematic aspects of a technical writing project is the review process.. Technical Writing Review Checklist.
From machemapache.blogspot.com
Document Review Checklist Template Free Documents Technical Writing Review Checklist Web in this blog post, we’ll discuss the purpose and benefits of the technical document review process, the different types of reviews, and the steps. Web morgan identifies five key steps in the technical writing process: Web the documentation review checklist helps you conduct a meaningful review of your documentation pieces, whether you hold. Web a technical writer must check. Technical Writing Review Checklist.
From dremelmicro.com
Observation Checklist Template Technical Writing Review Checklist Web in this blog post, we’ll discuss the purpose and benefits of the technical document review process, the different types of reviews, and the steps. Web the documentation review checklist helps you conduct a meaningful review of your documentation pieces, whether you hold. Web one of the most problematic aspects of a technical writing project is the review process. Web. Technical Writing Review Checklist.
From www.checklist.templateral.com
√ Free Printable Performance Review Checklist Template Checklist Technical Writing Review Checklist Developing a technical review checklist. Web the documentation review checklist helps you conduct a meaningful review of your documentation pieces, whether you hold. Web a review checklist is a handy guide to follow for all the technical writers while reviewing a document. Web in this blog post, we’ll discuss the purpose and benefits of the technical document review process, the. Technical Writing Review Checklist.
From davida.davivienda.com
Technical Review Document Template Printable Word Searches Technical Writing Review Checklist Web a review checklist is a handy guide to follow for all the technical writers while reviewing a document. Web you need to understand the structure of the document, identify the primary audience, evaluate its readability, identify. Web one of the most problematic aspects of a technical writing project is the review process. Web morgan identifies five key steps in. Technical Writing Review Checklist.
From www.slideshare.net
Writing Assignment 2 Writing Review Checklist and Rubric .docx Technical Writing Review Checklist Web a technical writer must check all the items of checklist while reviewing a document. Web the documentation review checklist helps you conduct a meaningful review of your documentation pieces, whether you hold. Web a review checklist is a handy guide to follow for all the technical writers while reviewing a document. Web one of the most problematic aspects of. Technical Writing Review Checklist.
From studylib.net
Design Review Checklist Technical Writing Review Checklist Web the documentation review checklist helps you conduct a meaningful review of your documentation pieces, whether you hold. Web morgan identifies five key steps in the technical writing process: Web one of the most problematic aspects of a technical writing project is the review process. Plan, structure, write, review, and publish. Web in this blog post, we’ll discuss the purpose. Technical Writing Review Checklist.
From www.smartsheet.com
Free Design Review Checklists Smartsheet Technical Writing Review Checklist Web the documentation review checklist helps you conduct a meaningful review of your documentation pieces, whether you hold. Web a review checklist is a handy guide to follow for all the technical writers while reviewing a document. Plan, structure, write, review, and publish. Read to learn how to. Web you need to understand the structure of the document, identify the. Technical Writing Review Checklist.
From classlesdemocracy.blogspot.com
Project Checklist Template Classles Democracy Technical Writing Review Checklist Plan, structure, write, review, and publish. Web one of the most problematic aspects of a technical writing project is the review process. Web a review checklist is a handy guide to follow for all the technical writers while reviewing a document. Web morgan identifies five key steps in the technical writing process: Developing a technical review checklist. Web the documentation. Technical Writing Review Checklist.
From www.examples.com
Project Requirement Checklist 10+ Examples, Format, Pdf, Tips Technical Writing Review Checklist Web morgan identifies five key steps in the technical writing process: Developing a technical review checklist. Read to learn how to. Web a technical writer must check all the items of checklist while reviewing a document. Web in this blog post, we’ll discuss the purpose and benefits of the technical document review process, the different types of reviews, and the. Technical Writing Review Checklist.
From dremelmicro.com
Technical Checklist Template Technical Writing Review Checklist Web you need to understand the structure of the document, identify the primary audience, evaluate its readability, identify. Web a review checklist is a handy guide to follow for all the technical writers while reviewing a document. Plan, structure, write, review, and publish. Web the documentation review checklist helps you conduct a meaningful review of your documentation pieces, whether you. Technical Writing Review Checklist.